Step 3 Complete the square on the left side of the equation and balance this by adding the same value to the right side of the equation;P^3 9q^3(pq) ^3= =2p^3 10q^3–3p^2*q3p*q^2= =(2pb*q)(p^2cq^2dpq)= =2p^32d*p^2*q2cp*q^2bc*q^3bp^2*qbd*p*q^2 =2p^3(2db)*p^2*q(2cbd)p*q^2bc*q^3 So bc Q1 How do you factorise polynomials?
Lt Div Class Quot Relative Mb 10 Md M 0 Quot Gt P Q 2 P Q 125 P Q 2 P Q 125
Factorise (p+q)^2-20(p+q)-125
Factorise (p+q)^2-20(p+q)-125- (v) p 3 q 6 − p 6 q 3 = p 3 q 3 (q 3 − p 3) (p 3 q 6 – p 6 q 3) ÷ p 3 q 3 = p 3 q 3 q 3 – p 3 p 3 q 3 = q 3 – p 3 P3 Work out the following divisions (i) (10x − 25) ÷ 5 (ii) (10x − 25) ÷ (2x − 5) (iii) 10y(6y 21) ÷ 5(2y 7) (iv) 9x 2 y 2 (3z − 24) ÷ 27xy(z −Thanks maths factorise a^12x^4a^4x^12 maths factorise ?



Toward Green Battery Cells Perspective On Materials And Technologies Duhnen Small Methods Wiley Online Library
Luckily there is a method that works in simple cases With the quadratic equation in this form Step 1 Find two numbers that multiply to give ac (in other words a times c), and add to give b Example 2x2 7x 3 ac is 2×3 = 6 and b is 7 So we want two numbers that multiply together to make 6, and add up to 7एक आयत की परिमाप 13 सेंटीमीटर तथा चौड़ाई 5 बटा 2 सेंटीमीटर है आयत की लंबाई49 p 2 – 36 = (7 p) 2 – ( 6 ) 2 = (7 p – 6 ) ( 7 p 6) (required factorisation) Example 7 Factorise a 2 – 2 ab b 2 – c 2 Solution The first three terms of the given expression form (a – b) 2 The fourth term is a square So the expression can be reduced to a difference of two squares
$\begingroup$ Look at $(2X3Y)^2$ $\endgroup$ – Damien Oct 2 ' at 1137 2 $\begingroup$ Can you factorise $4x^212x9$?Perfect Square Trinomials We may check the pattern of the expression to determine whether it is a Perfect Square Trinomial, namely, p 2 2pq q 2 = ( p q ) 2 or p 2 – 2 pq q 2 = ( p – qHow would you factorise this (pq)^25(pq) to get this answer(pq)(pq5) math Factorise 7ab2b^24a^2 maths factorise;
Factorising quadratic expression of the forms px 2 q where p and q are perfect square Use the identity a 2 b 2 = ( a b )( a b ) , the difference between two squares ExampleSolution (i) 7 x − 42 = 7 (x − 6) (ii) 6 p − 12 q = 6 (p − 2 q) (iii) 7 a 2 14 a = 7 a (a 2) (iv) − 16 z z 2 = 4 z (5 z 2 − 4) (v) l 2 m 30 a l m = 2 l m (10 l 15 a) (vi) 5 x 2 y − 15 x y 2 = 5 x (x y − 3 y 2) (vii) 10 a 2 − 15 b 2 c 2 = 5 (2 a 2 − 3 b 2 4 c 2) (viii) − 4 a 2 4 ab − 4 c a = − Gujarat Board GSEB Textbook Solutions Class 8 Maths Chapter 14 Factorization Ex 141 Textbook Questions and Answers Gujarat Board Textbook Solutions Class 8 Maths Chapter 14 Factorization Ex 141 Question 1 Find the common factors of



Applied Sciences Free Full Text Solutions To Increase Pv Hosting Capacity And Provision Of Services From Flexible Energy Resources Html



Gata Transcription Factors Sox17 And Tfap2c Drive The Human Germ Cell Specification Program Life Science Alliance
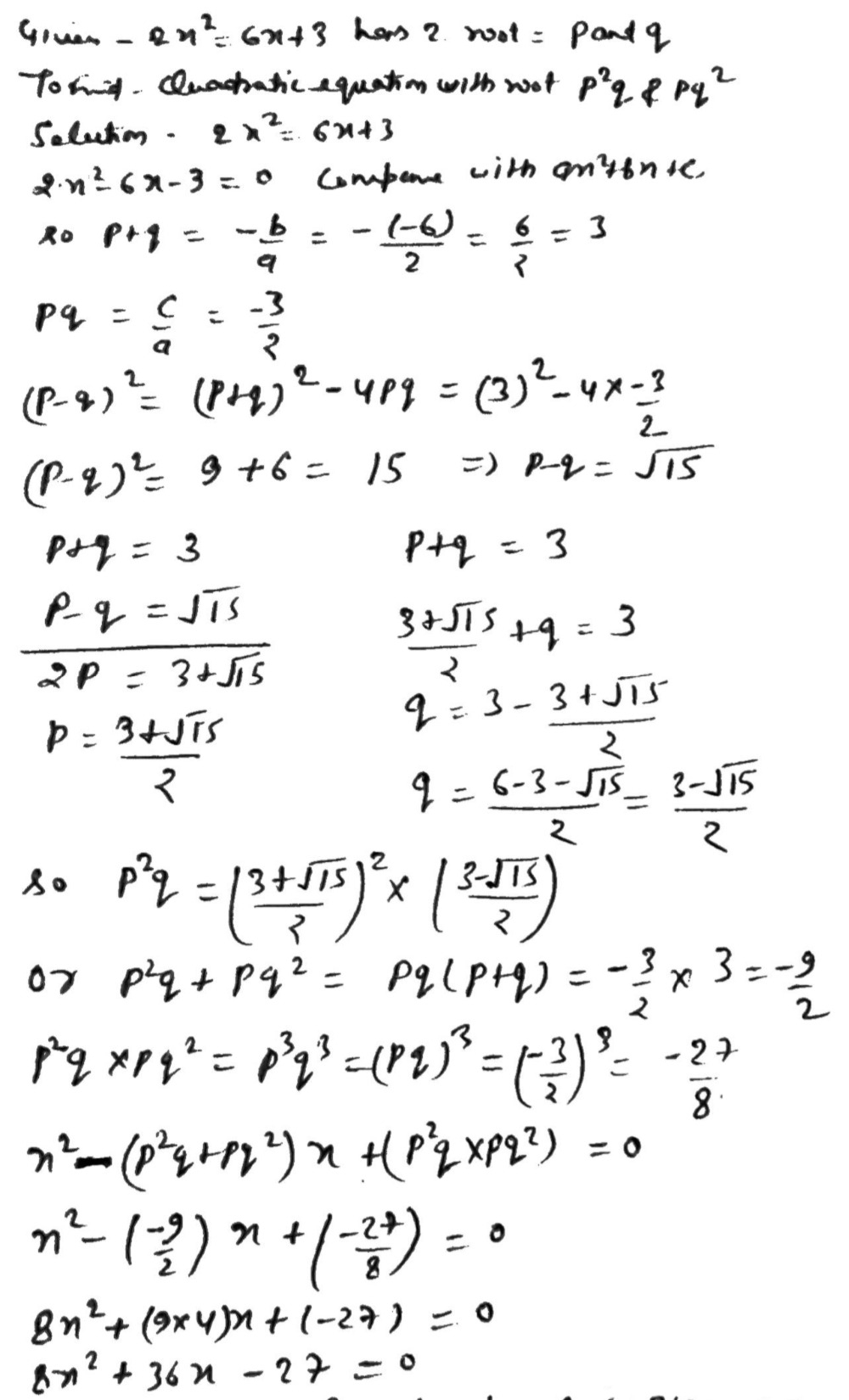
The Factor Theorem states that if P/Q is root of a polynomial then this polynomial can be divided by q*xp Note that q and p originate from P/Q reduced to its lowest terms In our case this means that 3x 3x 2x12 can be divided by 3 different polynomials,including by x3 Polynomial Long Division 24 Polynomial Long DivisionSimplify all the expressions of the form p\left(q\right) to pq x ^ 2 7x 10 = 0 Quadratic equations such as this one can be solved by a new direct factoring method thatSimplify all the expressions of the form p\left(q\right) to pq x ^ 2 9x = 0 Quadratic equations such as this one can be solved by a new direct factoring method that



Performance Of Prp Associated With Porous Chitosan As A Composite Scaffold For Regenerative Medicine



Igcse Mathematics Textbook Answers
A(ab)^2 2ab(ab) Math Factorise 1 a b c ab bc ca abc mathClick here👆to get an answer to your question ️ Factorize x^3 13x^2 32xThus solving P(x) = 0 is reduced to the simpler problems of solving Q(x) = 0 and R(x) = 0 Conversely, the factor theorem asserts that, if r is a root of P(x) = 0, then P(x) may be factored as = (), where Q(x) is the quotient of Euclidean division of P(x) = 0 by the linear (degree one) factor x – r



Dynamic Thylakoid Stacking And State Transitions Work Synergistically To Avoid Acceptor Side Limitation Of Photosystem I Nature Plants



Rd Sharma Class 9 Chapter 5 Factorization Of Algebraic Expressions Updated For 21 22
x^39x^224x = (x2)(x2)(x5) f(x) = x^39x^224x By the rational root theorem, any rational zeros of f(x) are expressible in the form p/q for integers p, q with p a divisor of the constant term and q a divisor of the coefficient 1 of the leading term d(P,R)=7,d(Q,R)=3and d(p,q)=4what can we say about P,Q and R Sort the following three numbers 2^ , 5^10, 6^9 What is last two digits of the middle number?This browser does not support the video element Step by step solution by experts to help you in doubt clearance & scoring excellent marks in exams



Factorise P Q P Q 125 Brainly In



Lt Div Class Quot Relative Mb 10 Md M 0 Quot Gt P Q 2 P Q 125 P Q 2 P Q 125
Answer (i) 12x = 2 x 2 x 3 x x 36 = 2 x 2 x 3 x 3 The common factors are 2, 2, 3 And, 2 x 2 x 3 = 12 (ii) 2y = 2 x y 22xy = 2 x 11 x x x y The common factors are 2R squared take away 5t Maths how do you factorise 2xyysqaured?To factorise an expression, rewrite it as a product of factors Thinking back to removing brackets, the answer is now the question and the question is now the answer We could ask the question



Factorize P Q P Q 125 Brainly In



Ex 14 3 5 V Factorise And Divide 5pq P 2 Q 2 2p P Q
A 8 u 10 b 10 k 10 c 11 y 10 d 13 j 12 e 15 h 11 f 19 g 17 g 2 m 12 h 5 1 2 7 e from MATH 01 at HELP University(m) 36 d2 (n) 4 q2 (o) 49 w2 (p) x2 64 9 Factorise the following expressions, which contain a difference of squares (a) a2 4b2 (b) x2 25y2 (c) p2 64q2 (d) 16c2 d2 (e) 81 4g2 (f) 36w2 y2 (g) 4a2 1 (h) g2 81h2 (i) 49x2 y2 (j) 9c2 16d2 (k) 4p2 9q2 (l) b2 100c2 (m) 25 16a2 (n) 4d2 121 (o) 225 49k2 (p) 9x2 0·25 10 Factorise the following7 4(p – q) (4 p 3q) = 16 p2 – 4pq – 12q 2 8 7(x 3 y) (5 x – 2y) = 35 x2 91 xy – 42 y2 Factorisation Worksheet 1 Take out the common factors from each of the following 1 qt rt = t(q r) 2 rt – 5rs = r(t – 5s) 3 3xy 4 xz = x(3 y 4z) Using difference of two squares factorise the following 4 p2 q2 = (p q)(p



Stereodefined Rhodium Catalysed 1 4 H D Delivery For Modular Syntheses And Deuterium Integration Nature Catalysis



Therapeutic Perspectives Of The Black Cumin Component Thymoquinone A Review Food Function Rsc Publishing
Ans We factorise the polynomials by collecting the like terms together and finding the common factors It is done by any of the following methods (i) Factorisation using common factors (ii) Factorisation by regrouping (iii) Factorisation using identities (iv) Factorisation by splitting the middle term Q2For pq=1 it should have value 1 (checked with some trial values), suggesting that some power of (pq) is a factor Is it possible to factorise it in these terms?→ 3130 ( talk ) 2211, January 14 (UTC) Factorise (pq)^3 (qr)^3 (rp)^3 Join the 2 Crores Student community now!



Lt Div Class Quot Relative Mb 10 Md M 0 Quot Gt P Q 2 P Q 125 P Q 2 P Q 125



Factorise The Following Cubic Expression 27q 3 125p 3 135q 2p 225qp 2 Brainly In
Step 1 Divide all terms by ) to the right side of the equation;ML Aggarwal Solutions PDF of this chapter can be downloaded from the link provided below and can be used for any future references Chapter 10 Algebraic Expressions and Identities contains five exercises and Check your progress questions The ML Aggarwal Class 8 Solutions present on this page provides clear solutions, according to the latestFactorise the following expressions (i) 7 x − 42 (ii) 6 p − 12 q (iii) 7 a 2 14 a (iv) − 16 z z 3 (v) l 2 m 30 a l m (vi) 5 x 2 y − 15 x y 2 (vii) 10 a 2 − 15 b 2 c 2 (viii) − 4 a 2 4 a b − 4 c a (ix) x 2 y z x y 2 z x y z 2 (x) a x 2 y b x y 2 c x y z



Factorise P Q 2 P Q 125 Expertzzz Pls Answer Brainly In



Lt Div Class Quot Relative Mb 10 Md M 0 Quot Gt P Q 2 P Q 125 P Q 2 P Q 125
In general, it is true that every polynomial splits (ie, factors into linear factors) over the complex number field However, finding this factorization for polynomials of degree up to four is manageable, and factoring something of degree higher than 4 is impossible (in the sense that there does not exist, for a general polynomial of degree 5 or higher, an algorithm for finding its roots) The factored is in the form y = (x p)(x q) Find p and q knowing their sum b = 4 and their product c = 40 Compose factor pairs of c = 40 Proceed (1, 40)(2, )(4, 10)(5, 8) We can't find the pair whose sum is 6 Then, this equation can't be factored Another way Find D = b^2 4ac = 36 160 < 0 There are no real roots, then, this equation can't be factored2x =2× x 4 =2 × 2 Hence 2x 4 = (2 × x) (2 × 2) Notice that factor 2 is common to both the terms



Effect Of Mitochondrial Antioxidant Mito Tempo On Burn Induced Cardiac Dysfunction Journal Of The American College Of Surgeons



nd Annual Meeting Of The American Thyroid Associationmeeting Abstracts Program Thyroid
Factorise completely 5 a 2 Expand and simplify 2pq p3q Expand and simplify x2 2 Simplify 3a 34b 6b 2a5 Factorise 9 p 2 4 q 2 Simplify 4 a 2 6ab 8a Expand and simplify 3xy 2yx Factorise x 2 4x Expand and simplify 2ab a3b Factorise a 2 25 b 2 Find the LCM of the given number using short division method 1) 75 , 100 , 1502) 96 , 144 , 192The point P(–1, 1) and the point Q(7, –5) both lie on C b Show that PQ is a diameter of C (2) The point R lies on the positive yaxis and the angle PRQ = 90° c



Obesity And Its Cardio Metabolic Co Morbidities Among Adult Nigerians In A Primary Care Clinic Of A Tertiary Hospital In South Eastern Nigeria Abstract Europe Pmc



Dynamic Thylakoid Stacking And State Transitions Work Synergistically To Avoid Acceptor Side Limitation Of Photosystem I Nature Plants
This is what we shall do now 1421 Method of common factors • We begin with a simple example Factorise 2x 4 We shall write each term as a product of irreducible factors; 1 Factor out common factors from all terms If every term in the polynomial has a common factor, factor it out to simplify the problem This is not possible with all polynomials, but it's a good approach to check first Example 1 Solve for x in the polynomial 2 x 3 12 x 2 16 x = 0 {\displaystyle 2x^ {3}12x^ {2}16x=0}The Factor Theorem states that if P/Q is root of a polynomial then this polynomial can be divided by q*xp Note that q and p originate from P/Q reduced to its lowest terms In our case this means that x 45x 3 2x 2 x24 can be divided by 3 different polynomials,including by x3 Polynomial Long Division 32 Polynomial Long Division



Prh Represses Transcription In Hematopoietic Cells By At Least Two Independent Mechanisms Sciencedirect



For M 3 2 Tev We Plot The Gmm Parameter Space In The M Mm 0 Vs M Download Scientific Diagram
We now have something that looks like (x p) 2 = q, which can be solved rather easily Step 4 Take the square root on both sides ofIs used to factorise an expression consisting of four terms when there are common factors in the pairs of terms Example 5 Factorise completely (i)53 4 2 2 (ii) (iii) ( ) Solution 1 2 3 36kh kh23 32 3kh22 36 3kh h kh k h= ( ) 3kh22 77xy 93bb268mnp mn p 77 7xy xy= bbbb=( )68 2 34mnp mn p mn p mn p53 4 2 2 4 2= ( ) 692 3xkxkMeaning of term factoring polynomials Factoring polynomial is an action in which polynomial is represented as a product of simpler polynomials that cannot be further factored Fundamental theorem of algebra says that every polynomial of degree n can be represented as product of n linear polynomials, but polynomials in that factorization can



Asbmr 30th Annual Meeting 1001 1300 08 Journal Of Bone And Mineral Research Wiley Online Library



Factorise P Q P Q 125 Youtube
Identity III is applicable here;Find detailed video answer solutions to ncertsolutionsmathematicsclass8 factorisation exercise142 questions taught by expert teachers Access free Class 10 Maths MCQs Chapter 5 Arithmetic Progressions 1 The n th term of an AP is given by a n = 3 4n The common difference is 2 If p, q, r and s are in AP then r – q is 3 If the sum of three numbers in an AP is 9 and their product is 24, then numbers are Also (a – d)



Towards High Power Efficiency Solution Processed Oleds Material And Device Perspectives Sciencedirect



Frontiers Neuromorphic Devices For Bionic Sensing And Perception Neuroscience
According to remainder theorem f (2) = 0 so that (x – 2 ) is a factor of x3 2x2 x 2 Here maximum power of x is 3 so that its can have maximum 3 factors So our answer is (x1) (x1) (x2) (ii) x3 3x2 9x 5 Possible zeros are factors of ± constant term / coefficient of leading term Here constant term is 5 and coefficient ofAnswer ALL questions 1 State the value of the underlined digit, in base ten, in the number 2 A 4 C 16 B 8 D 32 2 State the value of the digit 5, in base ten, in the number 7502 8 A 80 C 3 B 160 D 500 3 Express 2 as a number in base ten (iii) 14pq, 28p 2 q 2 Factors of 14pq, 28p 2 q 2 ⇒ 14pq = 2 × 7 × p × q ⇒ 28p 2 q 2 = 2 × 2 × 7 × p × p × q × q So, common factors are ⇒ 2 × 7 × p × q = 14pq (iv) 2x, 3x 2, 4 Factors of 2x, 3x 2, 4 ⇒ 2x = 2 × x ⇒ 3x 2 = 3 × x × x ⇒ 4 = 2 × 2 So, common factor is 1 (∵ 1 is a factor of every number) (v) 6abc, 24ab



A Parkinson S Disease Circrnas Resource Reveals A Link Between Circslc8a1 And Oxidative Stress Embo Molecular Medicine



A Parkinson S Disease Circrnas Resource Reveals A Link Between Circslc8a1 And Oxidative Stress Embo Molecular Medicine
$\endgroup$ – Mark Bennet Oct 2 ' at 1139 The first step of factorizing an expression is to take out any common factors which the terms have We consider the algebraic expression 4x8 This expression is already simplified but notice that 4 and 8 have a common factor In fact the HCF of 4 and 8 is 4 Now, 8 = 4 x 2 and 4 = 4 x 1 So, 4x 8 = 4 x 1x – 4 x 2 = 4 (x 2)



Toward Green Battery Cells Perspective On Materials And Technologies Duhnen Small Methods Wiley Online Library



Performance Of Prp Associated With Porous Chitosan As A Composite Scaffold For Regenerative Medicine



Therapeutic Perspectives Of The Black Cumin Component Thymoquinone A Review Food Function Rsc Publishing



Factorise P Q P Q 125 Youtube



Please Answer Maths Polynomials Meritnation Com



Secondary Lesson Plan E Ctlt



Cancers Free Full Text Atm Dependent Dusp6 Modulation Of P53 Involved In Synergistic Targeting Of Mapk And P53 Pathways With Trametinib And Mdm2 Inhibitors In Cutaneous Melanoma Html



Performance Of Prp Associated With Porous Chitosan As A Composite Scaffold For Regenerative Medicine



Enhancing Social Interaction In Depression Side Study Protocol Of A Randomised Controlled Trial On The Effects Of A Cognitively Based Compassion Training Cbct For Couples Bmj Open



Lt Div Class Quot Relative Mb 10 Md M 0 Quot Gt P Q 2 P Q 125 P Q 2 P Q 125



Jnk Foxo Mediated Neuronal Expression Of Fly Homologue Of Peroxiredoxin Ii Reduces Oxidative Stress And Extends Life Span Journal Of Biological Chemistry



Abnormal Muscle Mechanosignaling Triggers Cardiomyopathy In Mice With Marfan Syndrome Abstract Europe Pmc



Recent Advances In Transition Metal Based Electrocatalysts For Alkaline Hydrogen Evolution Journal Of Materials Chemistry A Rsc Publishing Doi 10 1039 C9ta032g



Bioactive Poly Ethylene Glycol Acrylate Hydrogels For Regenerative Engineering Springerlink



125 P 3 8 Q 3 Geqslant 5 P 2 Q 6 And P Q 4 Fe X Y Z 12 X 2 Y 2 Z 2 90 Find The Value X 3 Y 3 Z 3 3 X Y



Pearson Maths Class 9 Solution Pages 1 50 Flip Pdf Download Fliphtml5



Oxidative Stress Induced Formation Of Covalently Linked Ribulose 1 5 Bisphosphate Carboxylase Oxygenase Large Subunit Dimer In Tobacco Plants Bmc Research Notes Full Text



Papers Past Parliamentary Papers Appendix To The Journals Of The House Of Representatives 1918 Session I Ii Education Primary Education In Continuation Of



Frontiers The Emergency Response Capacity Of Plant Based Biopharmaceutical Manufacturing What It Is And What It Could Be Plant Science



2



Of P Q 50 Of P Q Then P Q



2



Factorize P Q 2 P Q 125 Youtube



Factorize 1 Q Cube Upon 125



Lt Div Class Quot Relative Mb 10 Md M 0 Quot Gt P Q 2 P Q 125 P Q 2 P Q 125



How Fish Traits And Functional Diversity Respond To Environmental Changes And Species Invasion In The Largest River In Southeastern China Peerj



The Molecular Basis For The Prothrombotic State In Sickle Cell Disease Haematologica



Www Tesisenred Net Bitstream Handle Dvt1de1 Pdf Sequence 1



P Q 3 Formula



Therapeutic Perspectives Of The Black Cumin Component Thymoquinone A Review Food Function Rsc Publishing



Oxidative Stress Induced Formation Of Covalently Linked Ribulose 1 5 Bisphosphate Carboxylase Oxygenase Large Subunit Dimer In Tobacco Plants Bmc Research Notes Full Text



Jnk Foxo Mediated Neuronal Expression Of Fly Homologue Of Peroxiredoxin Ii Reduces Oxidative Stress And Extends Life Span Journal Of Biological Chemistry



Conditionally Pathogenic Gut Microbes Promote Larval Growth By Increasing Redox Dependent Fat Storage In High Sugar Diet Fed Drosophila Antioxidants Redox Signaling



Usrtk Org Wp Content Uploads 21 03 01 Xx Xx Syn Rpt Lock Wilks Pq Handbook Of Toxicology Syng Pq Pdf



Pet Adapted Treatment For Newly Diagnosed Advanced Hodgkin Lymphoma Ahl11 A Randomised Multicentre Non Inferiority Phase 3 Study The Lancet Oncology



Public Preferences For Wind Farms Involving Electricity Trade And Citizen Engagement In Ireland Sciencedirect



Overview Of Salvia Miltiorrhiza As A Potential Therapeutic Agent For Various Diseases An Update On Efficacy And Mechanisms Of Action Document Gale Academic Onefile



Factorise 125q 3 27q 3 225p 2q 135 Pq 2 Brainly In



Therapeutic Perspectives Of The Black Cumin Component Thymoquinone A Review Food Function Rsc Publishing



Real Time Voltage Stability Analysis For Irol Assessment Springerlink



Jnk Foxo Mediated Neuronal Expression Of Fly Homologue Of Peroxiredoxin Ii Reduces Oxidative Stress And Extends Life Span Journal Of Biological Chemistry



Lt Div Class Quot Relative Mb 10 Md M 0 Quot Gt P Q 2 P Q 125 P Q 2 P Q 125



Probability Distribution For Mass Of Light Higgs Boson M H From N 1 Download Scientific Diagram



Stereodefined Rhodium Catalysed 1 4 H D Delivery For Modular Syntheses And Deuterium Integration Nature Catalysis



Factorize P Q 2 P Q 125



Regulation Of Arginine Biosynthesis Catabolism And Transport In Escherichia Coli Springerlink



2



Ex 14 3 5 Iii Factorise And Divide 5p 2 25p P 1



Lipid Lowering Efficacy Of Atorvastatin Abstract Europe Pmc



Factorise P Q 2 A B 2 P Q A B Maths Factorisation Meritnation Com



Water Splitting Based Sustainable And Efficient H2 Production In Green Algae As Achieved By Substrate Limitation Of The Calvin Benson Bassham Cycle Biotechnology For Biofuels Full Text



Factorise P3q3 343 Ie P Cube Q Cube 343 Brainly In



Factorise P Q P Q 125 Brainly In



Factorise P Square 4 P Q 4 Q Square Brainly In



Papers Past Parliamentary Papers Appendix To The Journals Of The House Of Representatives 1925 Session I Public Works Statement By The Hon J G Coates



Use Straightforward Algebraic Methods And Solve Equations 1 1 Ppt Download



Factorise I 8p 3 12 5 P 2 6 25 P 1 125 Ii 27p 3 9 2 Youtube



Dynamic Thylakoid Stacking And State Transitions Work Synergistically To Avoid Acceptor Side Limitation Of Photosystem I Nature Plants



Glencoe Solution Manual



Applied Sciences Free Full Text Solutions To Increase Pv Hosting Capacity And Provision Of Services From Flexible Energy Resources Html



Probability Distribution For Mixed Modulus Anomaly Mixing Parameter A Download Scientific Diagram



Factorise P Q 2 P Q 125 Expertzzz Pls Answer Brainly In



Pet Adapted Treatment For Newly Diagnosed Advanced Hodgkin Lymphoma Ahl11 A Randomised Multicentre Non Inferiority Phase 3 Study The Lancet Oncology



Lt Div Class Quot Relative Mb 10 Md M 0 Quot Gt P Q 2 P Q 125 P Q 2 P Q 125



Factorise P Q 2 4pq Brainly In



Geochronological Geochemical And Sr Nd Hf Isotopic Constraints On Petrogenesis Of Late Mesozoic Gabbro Granite Complexes On The Southeast Coast Of Fujian South China Insights Into A Depleted Mantle Source Region And Crust Mantle Interactions



Therapeutic Perspectives Of The Black Cumin Component Thymoquinone A Review Food Function Rsc Publishing



Factorise P 2q Pr 2 Pq R 2 Youtube



Pet Adapted Treatment For Newly Diagnosed Advanced Hodgkin Lymphoma Ahl11 A Randomised Multicentre Non Inferiority Phase 3 Study The Lancet Oncology



Stereodefined Rhodium Catalysed 1 4 H D Delivery For Modular Syntheses And Deuterium Integration Nature Catalysis



Therapeutic Perspectives Of The Black Cumin Component Thymoquinone A Review Food Function Rsc Publishing



Frontiers Super Treg Toward A New Era Of Adoptive Treg Therapy Enabled By Genetic Modifications Immunology


0 件のコメント:
コメントを投稿